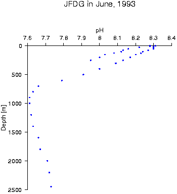
Data status of JFDG in June, 1993
Station Information Flags [Station map]
Profile Information Flags
| 0 | 1 | 2 | 3 | 4 | 5 | 6 | 7 | 9 | A | B | C | D | E | Total |
| 15 | | | | | | | | | | | | | | 15 |
18 profiles
| Depth [m] | Data Quality Control Flags | Data Management Flags |
| 0 | 1 | 2 | 3 | 4 | 5 | 6 | 7 | 8 | 9 | L | _ | Total | 0 | 1 | 2 | 3 | 4 | 5 | 6 | D | E | F | J | K | L | M | Total |
| Total | 278 | | | | | | | | | | | | 278 | 278 | | | | | | | | | | | | | | 278 |
| 0 - 10 | 19 | | | | | | | | | | | | 19 | 19 | | | | | | | | | | | | | | 19 |
| 10 - 20 | 17 | | | | | | | | | | | | 17 | 17 | | | | | | | | | | | | | | 17 |
| 20 - 30 | 18 | | | | | | | | | | | | 18 | 18 | | | | | | | | | | | | | | 18 |
| 30 - 50 | 15 | | | | | | | | | | | | 15 | 15 | | | | | | | | | | | | | | 15 |
| 50 - 75 | 20 | | | | | | | | | | | | 20 | 20 | | | | | | | | | | | | | | 20 |
| 75 - 100 | 16 | | | | | | | | | | | | 16 | 16 | | | | | | | | | | | | | | 16 |
| 100 - 125 | 19 | | | | | | | | | | | | 19 | 19 | | | | | | | | | | | | | | 19 |
| 125 - 150 | 6 | | | | | | | | | | | | 6 | 6 | | | | | | | | | | | | | | 6 |
| 150 - 200 | 18 | | | | | | | | | | | | 18 | 18 | | | | | | | | | | | | | | 18 |
| 200 - 250 | 17 | | | | | | | | | | | | 17 | 17 | | | | | | | | | | | | | | 17 |
| 250 - 300 | 18 | | | | | | | | | | | | 18 | 18 | | | | | | | | | | | | | | 18 |
| 300 - 400 | 30 | | | | | | | | | | | | 30 | 30 | | | | | | | | | | | | | | 30 |
| 400 - 500 | 29 | | | | | | | | | | | | 29 | 29 | | | | | | | | | | | | | | 29 |
| 500 - 600 | 4 | | | | | | | | | | | | 4 | 4 | | | | | | | | | | | | | | 4 |
| 600 - 700 | 3 | | | | | | | | | | | | 3 | 3 | | | | | | | | | | | | | | 3 |
| 700 - 800 | 5 | | | | | | | | | | | | 5 | 5 | | | | | | | | | | | | | | 5 |
| 800 - 900 | 4 | | | | | | | | | | | | 4 | 4 | | | | | | | | | | | | | | 4 |
| 900 - 1000 | 3 | | | | | | | | | | | | 3 | 3 | | | | | | | | | | | | | | 3 |
| 1000 - 1100 | 4 | | | | | | | | | | | | 4 | 4 | | | | | | | | | | | | | | 4 |
| 1100 - 1200 | | | | | | | | | | | | | | | | | | | | | | | | | | | | |
| 1200 - 1300 | 4 | | | | | | | | | | | | 4 | 4 | | | | | | | | | | | | | | 4 |
| 1300 - 1400 | 2 | | | | | | | | | | | | 2 | 2 | | | | | | | | | | | | | | 2 |
| 1400 - 1500 | | | | | | | | | | | | | | | | | | | | | | | | | | | | |
| 1500 - 1750 | 2 | | | | | | | | | | | | 2 | 2 | | | | | | | | | | | | | | 2 |
| 1750 - 2000 | 2 | | | | | | | | | | | | 2 | 2 | | | | | | | | | | | | | | 2 |
| 2000 - 2500 | 3 | | | | | | | | | | | | 3 | 3 | | | | | | | | | | | | | | 3 |
| 2500 - 3000 | | | | | | | | | | | | | | | | | | | | | | | | | | | | |
| 3000 - 3500 | | | | | | | | | | | | | | | | | | | | | | | | | | | | |
| 3500 - 4000 | | | | | | | | | | | | | | | | | | | | | | | | | | | | |
| 4000 - 4500 | | | | | | | | | | | | | | | | | | | | | | | | | | | | |
| 4500 - 5000 | | | | | | | | | | | | | | | | | | | | | | | | | | | | |
| 5000 - 5500 | | | | | | | | | | | | | | | | | | | | | | | | | | | | |
| 5500 ≤ | | | | | | | | | | | | | | | | | | | | | | | | | | | | |
Back to Index
6 profiles
| Depth [m] | Data Quality Control Flags | Data Management Flags |
| 0 | 1 | 2 | 3 | 4 | 5 | 6 | 7 | 8 | 9 | L | _ | Total | 0 | 1 | 2 | 3 | 4 | 5 | 6 | D | E | F | J | K | L | M | Total |
| Total | 110 | | | | | | | | | | | | 110 | 110 | | | | | | | | | | | | | | 110 |
| 0 - 10 | 7 | | | | | | | | | | | | 7 | 7 | | | | | | | | | | | | | | 7 |
| 10 - 20 | 5 | | | | | | | | | | | | 5 | 5 | | | | | | | | | | | | | | 5 |
| 20 - 30 | 6 | | | | | | | | | | | | 6 | 6 | | | | | | | | | | | | | | 6 |
| 30 - 50 | 3 | | | | | | | | | | | | 3 | 3 | | | | | | | | | | | | | | 3 |
| 50 - 75 | 8 | | | | | | | | | | | | 8 | 8 | | | | | | | | | | | | | | 8 |
| 75 - 100 | 4 | | | | | | | | | | | | 4 | 4 | | | | | | | | | | | | | | 4 |
| 100 - 125 | 7 | | | | | | | | | | | | 7 | 7 | | | | | | | | | | | | | | 7 |
| 125 - 150 | 6 | | | | | | | | | | | | 6 | 6 | | | | | | | | | | | | | | 6 |
| 150 - 200 | 6 | | | | | | | | | | | | 6 | 6 | | | | | | | | | | | | | | 6 |
| 200 - 250 | 5 | | | | | | | | | | | | 5 | 5 | | | | | | | | | | | | | | 5 |
| 250 - 300 | 6 | | | | | | | | | | | | 6 | 6 | | | | | | | | | | | | | | 6 |
| 300 - 400 | 6 | | | | | | | | | | | | 6 | 6 | | | | | | | | | | | | | | 6 |
| 400 - 500 | 5 | | | | | | | | | | | | 5 | 5 | | | | | | | | | | | | | | 5 |
| 500 - 600 | 4 | | | | | | | | | | | | 4 | 4 | | | | | | | | | | | | | | 4 |
| 600 - 700 | 3 | | | | | | | | | | | | 3 | 3 | | | | | | | | | | | | | | 3 |
| 700 - 800 | 5 | | | | | | | | | | | | 5 | 5 | | | | | | | | | | | | | | 5 |
| 800 - 900 | 4 | | | | | | | | | | | | 4 | 4 | | | | | | | | | | | | | | 4 |
| 900 - 1000 | 3 | | | | | | | | | | | | 3 | 3 | | | | | | | | | | | | | | 3 |
| 1000 - 1100 | 4 | | | | | | | | | | | | 4 | 4 | | | | | | | | | | | | | | 4 |
| 1100 - 1200 | | | | | | | | | | | | | | | | | | | | | | | | | | | | |
| 1200 - 1300 | 4 | | | | | | | | | | | | 4 | 4 | | | | | | | | | | | | | | 4 |
| 1300 - 1400 | 2 | | | | | | | | | | | | 2 | 2 | | | | | | | | | | | | | | 2 |
| 1400 - 1500 | | | | | | | | | | | | | | | | | | | | | | | | | | | | |
| 1500 - 1750 | 2 | | | | | | | | | | | | 2 | 2 | | | | | | | | | | | | | | 2 |
| 1750 - 2000 | 2 | | | | | | | | | | | | 2 | 2 | | | | | | | | | | | | | | 2 |
| 2000 - 2500 | 3 | | | | | | | | | | | | 3 | 3 | | | | | | | | | | | | | | 3 |
| 2500 - 3000 | | | | | | | | | | | | | | | | | | | | | | | | | | | | |
| 3000 - 3500 | | | | | | | | | | | | | | | | | | | | | | | | | | | | |
| 3500 - 4000 | | | | | | | | | | | | | | | | | | | | | | | | | | | | |
| 4000 - 4500 | | | | | | | | | | | | | | | | | | | | | | | | | | | | |
| 4500 - 5000 | | | | | | | | | | | | | | | | | | | | | | | | | | | | |
| 5000 - 5500 | | | | | | | | | | | | | | | | | | | | | | | | | | | | |
| 5500 ≤ | | | | | | | | | | | | | | | | | | | | | | | | | | | | |
Back to Index
2 profiles
| Depth [m] | Data Quality Control Flags | Data Management Flags |
| 0 | 1 | 2 | 3 | 4 | 5 | 6 | 7 | 8 | 9 | L | _ | Total | 0 | 1 | 2 | 3 | 4 | 5 | 6 | D | E | F | J | K | L | M | Total |
| Total | 35 | | | | | | | | | | | | 35 | 35 | | | | | | | | | | | | | | 35 |
| 0 - 10 | 2 | | | | | | | | | | | | 2 | 2 | | | | | | | | | | | | | | 2 |
| 10 - 20 | 2 | | | | | | | | | | | | 2 | 2 | | | | | | | | | | | | | | 2 |
| 20 - 30 | 2 | | | | | | | | | | | | 2 | 2 | | | | | | | | | | | | | | 2 |
| 30 - 50 | | | | | | | | | | | | | | | | | | | | | | | | | | | | |
| 50 - 75 | 3 | | | | | | | | | | | | 3 | 3 | | | | | | | | | | | | | | 3 |
| 75 - 100 | 1 | | | | | | | | | | | | 1 | 1 | | | | | | | | | | | | | | 1 |
| 100 - 125 | 2 | | | | | | | | | | | | 2 | 2 | | | | | | | | | | | | | | 2 |
| 125 - 150 | 2 | | | | | | | | | | | | 2 | 2 | | | | | | | | | | | | | | 2 |
| 150 - 200 | 2 | | | | | | | | | | | | 2 | 2 | | | | | | | | | | | | | | 2 |
| 200 - 250 | 2 | | | | | | | | | | | | 2 | 2 | | | | | | | | | | | | | | 2 |
| 250 - 300 | 2 | | | | | | | | | | | | 2 | 2 | | | | | | | | | | | | | | 2 |
| 300 - 400 | 1 | | | | | | | | | | | | 1 | 1 | | | | | | | | | | | | | | 1 |
| 400 - 500 | 1 | | | | | | | | | | | | 1 | 1 | | | | | | | | | | | | | | 1 |
| 500 - 600 | 1 | | | | | | | | | | | | 1 | 1 | | | | | | | | | | | | | | 1 |
| 600 - 700 | 1 | | | | | | | | | | | | 1 | 1 | | | | | | | | | | | | | | 1 |
| 700 - 800 | 1 | | | | | | | | | | | | 1 | 1 | | | | | | | | | | | | | | 1 |
| 800 - 900 | 2 | | | | | | | | | | | | 2 | 2 | | | | | | | | | | | | | | 2 |
| 900 - 1000 | | | | | | | | | | | | | | | | | | | | | | | | | | | | |
| 1000 - 1100 | 1 | | | | | | | | | | | | 1 | 1 | | | | | | | | | | | | | | 1 |
| 1100 - 1200 | | | | | | | | | | | | | | | | | | | | | | | | | | | | |
| 1200 - 1300 | 1 | | | | | | | | | | | | 1 | 1 | | | | | | | | | | | | | | 1 |
| 1300 - 1400 | 1 | | | | | | | | | | | | 1 | 1 | | | | | | | | | | | | | | 1 |
| 1400 - 1500 | | | | | | | | | | | | | | | | | | | | | | | | | | | | |
| 1500 - 1750 | 1 | | | | | | | | | | | | 1 | 1 | | | | | | | | | | | | | | 1 |
| 1750 - 2000 | 2 | | | | | | | | | | | | 2 | 2 | | | | | | | | | | | | | | 2 |
| 2000 - 2500 | 2 | | | | | | | | | | | | 2 | 2 | | | | | | | | | | | | | | 2 |
| 2500 - 3000 | | | | | | | | | | | | | | | | | | | | | | | | | | | | |
| 3000 - 3500 | | | | | | | | | | | | | | | | | | | | | | | | | | | | |
| 3500 - 4000 | | | | | | | | | | | | | | | | | | | | | | | | | | | | |
| 4000 - 4500 | | | | | | | | | | | | | | | | | | | | | | | | | | | | |
| 4500 - 5000 | | | | | | | | | | | | | | | | | | | | | | | | | | | | |
| 5000 - 5500 | | | | | | | | | | | | | | | | | | | | | | | | | | | | |
| 5500 ≤ | | | | | | | | | | | | | | | | | | | | | | | | | | | | |
Back to Index
3 profiles
| Depth [m] | Data Quality Control Flags | Data Management Flags |
| 0 | 1 | 2 | 3 | 4 | 5 | 6 | 7 | 8 | 9 | L | _ | Total | 0 | 1 | 2 | 3 | 4 | 5 | 6 | D | E | F | J | K | L | M | Total |
| Total | 55 | | | | | | | | | | | | 55 | 55 | | | | | | | | | | | | | | 55 |
| 0 - 10 | 4 | | | | | | | | | | | | 4 | 4 | | | | | | | | | | | | | | 4 |
| 10 - 20 | 2 | | | | | | | | | | | | 2 | 2 | | | | | | | | | | | | | | 2 |
| 20 - 30 | 3 | | | | | | | | | | | | 3 | 3 | | | | | | | | | | | | | | 3 |
| 30 - 50 | | | | | | | | | | | | | | | | | | | | | | | | | | | | |
| 50 - 75 | 5 | | | | | | | | | | | | 5 | 5 | | | | | | | | | | | | | | 5 |
| 75 - 100 | 1 | | | | | | | | | | | | 1 | 1 | | | | | | | | | | | | | | 1 |
| 100 - 125 | 4 | | | | | | | | | | | | 4 | 4 | | | | | | | | | | | | | | 4 |
| 125 - 150 | 3 | | | | | | | | | | | | 3 | 3 | | | | | | | | | | | | | | 3 |
| 150 - 200 | 3 | | | | | | | | | | | | 3 | 3 | | | | | | | | | | | | | | 3 |
| 200 - 250 | 2 | | | | | | | | | | | | 2 | 2 | | | | | | | | | | | | | | 2 |
| 250 - 300 | 3 | | | | | | | | | | | | 3 | 3 | | | | | | | | | | | | | | 3 |
| 300 - 400 | 3 | | | | | | | | | | | | 3 | 3 | | | | | | | | | | | | | | 3 |
| 400 - 500 | 3 | | | | | | | | | | | | 3 | 3 | | | | | | | | | | | | | | 3 |
| 500 - 600 | 2 | | | | | | | | | | | | 2 | 2 | | | | | | | | | | | | | | 2 |
| 600 - 700 | 1 | | | | | | | | | | | | 1 | 1 | | | | | | | | | | | | | | 1 |
| 700 - 800 | 2 | | | | | | | | | | | | 2 | 2 | | | | | | | | | | | | | | 2 |
| 800 - 900 | 2 | | | | | | | | | | | | 2 | 2 | | | | | | | | | | | | | | 2 |
| 900 - 1000 | 1 | | | | | | | | | | | | 1 | 1 | | | | | | | | | | | | | | 1 |
| 1000 - 1100 | 2 | | | | | | | | | | | | 2 | 2 | | | | | | | | | | | | | | 2 |
| 1100 - 1200 | | | | | | | | | | | | | | | | | | | | | | | | | | | | |
| 1200 - 1300 | 2 | | | | | | | | | | | | 2 | 2 | | | | | | | | | | | | | | 2 |
| 1300 - 1400 | 2 | | | | | | | | | | | | 2 | 2 | | | | | | | | | | | | | | 2 |
| 1400 - 1500 | | | | | | | | | | | | | | | | | | | | | | | | | | | | |
| 1500 - 1750 | 1 | | | | | | | | | | | | 1 | 1 | | | | | | | | | | | | | | 1 |
| 1750 - 2000 | 2 | | | | | | | | | | | | 2 | 2 | | | | | | | | | | | | | | 2 |
| 2000 - 2500 | 2 | | | | | | | | | | | | 2 | 2 | | | | | | | | | | | | | | 2 |
| 2500 - 3000 | | | | | | | | | | | | | | | | | | | | | | | | | | | | |
| 3000 - 3500 | | | | | | | | | | | | | | | | | | | | | | | | | | | | |
| 3500 - 4000 | | | | | | | | | | | | | | | | | | | | | | | | | | | | |
| 4000 - 4500 | | | | | | | | | | | | | | | | | | | | | | | | | | | | |
| 4500 - 5000 | | | | | | | | | | | | | | | | | | | | | | | | | | | | |
| 5000 - 5500 | | | | | | | | | | | | | | | | | | | | | | | | | | | | |
| 5500 ≤ | | | | | | | | | | | | | | | | | | | | | | | | | | | | |
Back to Index
3 profiles
| Depth [m] | Data Quality Control Flags | Data Management Flags |
| 0 | 1 | 2 | 3 | 4 | 5 | 6 | 7 | 8 | 9 | L | _ | Total | 0 | 1 | 2 | 3 | 4 | 5 | 6 | D | E | F | J | K | L | M | Total |
| Total | 56 | | | | | | | | | | | | 56 | 56 | | | | | | | | | | | | | | 56 |
| 0 - 10 | 4 | | | | | | | | | | | | 4 | 4 | | | | | | | | | | | | | | 4 |
| 10 - 20 | 2 | | | | | | | | | | | | 2 | 2 | | | | | | | | | | | | | | 2 |
| 20 - 30 | 3 | | | | | | | | | | | | 3 | 3 | | | | | | | | | | | | | | 3 |
| 30 - 50 | | | | | | | | | | | | | | | | | | | | | | | | | | | | |
| 50 - 75 | 5 | | | | | | | | | | | | 5 | 5 | | | | | | | | | | | | | | 5 |
| 75 - 100 | 1 | | | | | | | | | | | | 1 | 1 | | | | | | | | | | | | | | 1 |
| 100 - 125 | 4 | | | | | | | | | | | | 4 | 4 | | | | | | | | | | | | | | 4 |
| 125 - 150 | 3 | | | | | | | | | | | | 3 | 3 | | | | | | | | | | | | | | 3 |
| 150 - 200 | 3 | | | | | | | | | | | | 3 | 3 | | | | | | | | | | | | | | 3 |
| 200 - 250 | 2 | | | | | | | | | | | | 2 | 2 | | | | | | | | | | | | | | 2 |
| 250 - 300 | 3 | | | | | | | | | | | | 3 | 3 | | | | | | | | | | | | | | 3 |
| 300 - 400 | 3 | | | | | | | | | | | | 3 | 3 | | | | | | | | | | | | | | 3 |
| 400 - 500 | 3 | | | | | | | | | | | | 3 | 3 | | | | | | | | | | | | | | 3 |
| 500 - 600 | 2 | | | | | | | | | | | | 2 | 2 | | | | | | | | | | | | | | 2 |
| 600 - 700 | 1 | | | | | | | | | | | | 1 | 1 | | | | | | | | | | | | | | 1 |
| 700 - 800 | 3 | | | | | | | | | | | | 3 | 3 | | | | | | | | | | | | | | 3 |
| 800 - 900 | 2 | | | | | | | | | | | | 2 | 2 | | | | | | | | | | | | | | 2 |
| 900 - 1000 | 1 | | | | | | | | | | | | 1 | 1 | | | | | | | | | | | | | | 1 |
| 1000 - 1100 | 2 | | | | | | | | | | | | 2 | 2 | | | | | | | | | | | | | | 2 |
| 1100 - 1200 | | | | | | | | | | | | | | | | | | | | | | | | | | | | |
| 1200 - 1300 | 2 | | | | | | | | | | | | 2 | 2 | | | | | | | | | | | | | | 2 |
| 1300 - 1400 | 2 | | | | | | | | | | | | 2 | 2 | | | | | | | | | | | | | | 2 |
| 1400 - 1500 | | | | | | | | | | | | | | | | | | | | | | | | | | | | |
| 1500 - 1750 | 1 | | | | | | | | | | | | 1 | 1 | | | | | | | | | | | | | | 1 |
| 1750 - 2000 | 2 | | | | | | | | | | | | 2 | 2 | | | | | | | | | | | | | | 2 |
| 2000 - 2500 | 2 | | | | | | | | | | | | 2 | 2 | | | | | | | | | | | | | | 2 |
| 2500 - 3000 | | | | | | | | | | | | | | | | | | | | | | | | | | | | |
| 3000 - 3500 | | | | | | | | | | | | | | | | | | | | | | | | | | | | |
| 3500 - 4000 | | | | | | | | | | | | | | | | | | | | | | | | | | | | |
| 4000 - 4500 | | | | | | | | | | | | | | | | | | | | | | | | | | | | |
| 4500 - 5000 | | | | | | | | | | | | | | | | | | | | | | | | | | | | |
| 5000 - 5500 | | | | | | | | | | | | | | | | | | | | | | | | | | | | |
| 5500 ≤ | | | | | | | | | | | | | | | | | | | | | | | | | | | | |
Back to Index
3 profiles
| Depth [m] | Data Quality Control Flags | Data Management Flags |
| 0 | 1 | 2 | 3 | 4 | 5 | 6 | 7 | 8 | 9 | L | _ | Total | 0 | 1 | 2 | 3 | 4 | 5 | 6 | D | E | F | J | K | L | M | Total |
| Total | 56 | | | | | | | | | | | | 56 | 56 | | | | | | | | | | | | | | 56 |
| 0 - 10 | 4 | | | | | | | | | | | | 4 | 4 | | | | | | | | | | | | | | 4 |
| 10 - 20 | 2 | | | | | | | | | | | | 2 | 2 | | | | | | | | | | | | | | 2 |
| 20 - 30 | 3 | | | | | | | | | | | | 3 | 3 | | | | | | | | | | | | | | 3 |
| 30 - 50 | | | | | | | | | | | | | | | | | | | | | | | | | | | | |
| 50 - 75 | 5 | | | | | | | | | | | | 5 | 5 | | | | | | | | | | | | | | 5 |
| 75 - 100 | 1 | | | | | | | | | | | | 1 | 1 | | | | | | | | | | | | | | 1 |
| 100 - 125 | 4 | | | | | | | | | | | | 4 | 4 | | | | | | | | | | | | | | 4 |
| 125 - 150 | 3 | | | | | | | | | | | | 3 | 3 | | | | | | | | | | | | | | 3 |
| 150 - 200 | 3 | | | | | | | | | | | | 3 | 3 | | | | | | | | | | | | | | 3 |
| 200 - 250 | 2 | | | | | | | | | | | | 2 | 2 | | | | | | | | | | | | | | 2 |
| 250 - 300 | 3 | | | | | | | | | | | | 3 | 3 | | | | | | | | | | | | | | 3 |
| 300 - 400 | 3 | | | | | | | | | | | | 3 | 3 | | | | | | | | | | | | | | 3 |
| 400 - 500 | 3 | | | | | | | | | | | | 3 | 3 | | | | | | | | | | | | | | 3 |
| 500 - 600 | 2 | | | | | | | | | | | | 2 | 2 | | | | | | | | | | | | | | 2 |
| 600 - 700 | 1 | | | | | | | | | | | | 1 | 1 | | | | | | | | | | | | | | 1 |
| 700 - 800 | 3 | | | | | | | | | | | | 3 | 3 | | | | | | | | | | | | | | 3 |
| 800 - 900 | 2 | | | | | | | | | | | | 2 | 2 | | | | | | | | | | | | | | 2 |
| 900 - 1000 | 1 | | | | | | | | | | | | 1 | 1 | | | | | | | | | | | | | | 1 |
| 1000 - 1100 | 2 | | | | | | | | | | | | 2 | 2 | | | | | | | | | | | | | | 2 |
| 1100 - 1200 | | | | | | | | | | | | | | | | | | | | | | | | | | | | |
| 1200 - 1300 | 2 | | | | | | | | | | | | 2 | 2 | | | | | | | | | | | | | | 2 |
| 1300 - 1400 | 2 | | | | | | | | | | | | 2 | 2 | | | | | | | | | | | | | | 2 |
| 1400 - 1500 | | | | | | | | | | | | | | | | | | | | | | | | | | | | |
| 1500 - 1750 | 1 | | | | | | | | | | | | 1 | 1 | | | | | | | | | | | | | | 1 |
| 1750 - 2000 | 2 | | | | | | | | | | | | 2 | 2 | | | | | | | | | | | | | | 2 |
| 2000 - 2500 | 2 | | | | | | | | | | | | 2 | 2 | | | | | | | | | | | | | | 2 |
| 2500 - 3000 | | | | | | | | | | | | | | | | | | | | | | | | | | | | |
| 3000 - 3500 | | | | | | | | | | | | | | | | | | | | | | | | | | | | |
| 3500 - 4000 | | | | | | | | | | | | | | | | | | | | | | | | | | | | |
| 4000 - 4500 | | | | | | | | | | | | | | | | | | | | | | | | | | | | |
| 4500 - 5000 | | | | | | | | | | | | | | | | | | | | | | | | | | | | |
| 5000 - 5500 | | | | | | | | | | | | | | | | | | | | | | | | | | | | |
| 5500 ≤ | | | | | | | | | | | | | | | | | | | | | | | | | | | | |
Back to Index
3 profiles
| Depth [m] | Data Quality Control Flags | Data Management Flags |
| 0 | 1 | 2 | 3 | 4 | 5 | 6 | 7 | 8 | 9 | L | _ | Total | 0 | 1 | 2 | 3 | 4 | 5 | 6 | D | E | F | J | K | L | M | Total |
| Total | | | | | | | | | | | | 56 | 56 | 56 | | | | | | | | | | | | | | 56 |
| 0 - 10 | | | | | | | | | | | | 4 | 4 | 4 | | | | | | | | | | | | | | 4 |
| 10 - 20 | | | | | | | | | | | | 2 | 2 | 2 | | | | | | | | | | | | | | 2 |
| 20 - 30 | | | | | | | | | | | | 3 | 3 | 3 | | | | | | | | | | | | | | 3 |
| 30 - 50 | | | | | | | | | | | | | | | | | | | | | | | | | | | | |
| 50 - 75 | | | | | | | | | | | | 5 | 5 | 5 | | | | | | | | | | | | | | 5 |
| 75 - 100 | | | | | | | | | | | | 1 | 1 | 1 | | | | | | | | | | | | | | 1 |
| 100 - 125 | | | | | | | | | | | | 4 | 4 | 4 | | | | | | | | | | | | | | 4 |
| 125 - 150 | | | | | | | | | | | | 3 | 3 | 3 | | | | | | | | | | | | | | 3 |
| 150 - 200 | | | | | | | | | | | | 3 | 3 | 3 | | | | | | | | | | | | | | 3 |
| 200 - 250 | | | | | | | | | | | | 2 | 2 | 2 | | | | | | | | | | | | | | 2 |
| 250 - 300 | | | | | | | | | | | | 3 | 3 | 3 | | | | | | | | | | | | | | 3 |
| 300 - 400 | | | | | | | | | | | | 3 | 3 | 3 | | | | | | | | | | | | | | 3 |
| 400 - 500 | | | | | | | | | | | | 3 | 3 | 3 | | | | | | | | | | | | | | 3 |
| 500 - 600 | | | | | | | | | | | | 2 | 2 | 2 | | | | | | | | | | | | | | 2 |
| 600 - 700 | | | | | | | | | | | | 1 | 1 | 1 | | | | | | | | | | | | | | 1 |
| 700 - 800 | | | | | | | | | | | | 3 | 3 | 3 | | | | | | | | | | | | | | 3 |
| 800 - 900 | | | | | | | | | | | | 2 | 2 | 2 | | | | | | | | | | | | | | 2 |
| 900 - 1000 | | | | | | | | | | | | 1 | 1 | 1 | | | | | | | | | | | | | | 1 |
| 1000 - 1100 | | | | | | | | | | | | 2 | 2 | 2 | | | | | | | | | | | | | | 2 |
| 1100 - 1200 | | | | | | | | | | | | | | | | | | | | | | | | | | | | |
| 1200 - 1300 | | | | | | | | | | | | 2 | 2 | 2 | | | | | | | | | | | | | | 2 |
| 1300 - 1400 | | | | | | | | | | | | 2 | 2 | 2 | | | | | | | | | | | | | | 2 |
| 1400 - 1500 | | | | | | | | | | | | | | | | | | | | | | | | | | | | |
| 1500 - 1750 | | | | | | | | | | | | 1 | 1 | 1 | | | | | | | | | | | | | | 1 |
| 1750 - 2000 | | | | | | | | | | | | 2 | 2 | 2 | | | | | | | | | | | | | | 2 |
| 2000 - 2500 | | | | | | | | | | | | 2 | 2 | 2 | | | | | | | | | | | | | | 2 |
| 2500 - 3000 | | | | | | | | | | | | | | | | | | | | | | | | | | | | |
| 3000 - 3500 | | | | | | | | | | | | | | | | | | | | | | | | | | | | |
| 3500 - 4000 | | | | | | | | | | | | | | | | | | | | | | | | | | | | |
| 4000 - 4500 | | | | | | | | | | | | | | | | | | | | | | | | | | | | |
| 4500 - 5000 | | | | | | | | | | | | | | | | | | | | | | | | | | | | |
| 5000 - 5500 | | | | | | | | | | | | | | | | | | | | | | | | | | | | |
| 5500 ≤ | | | | | | | | | | | | | | | | | | | | | | | | | | | | |
Back to Index
3 profiles
| Depth [m] | Data Quality Control Flags | Data Management Flags |
| 0 | 1 | 2 | 3 | 4 | 5 | 6 | 7 | 8 | 9 | L | _ | Total | 0 | 1 | 2 | 3 | 4 | 5 | 6 | D | E | F | J | K | L | M | Total |
| Total | 33 | | | | | | | | | | | | 33 | 33 | | | | | | | | | | | | | | 33 |
| 0 - 10 | 4 | | | | | | | | | | | | 4 | 4 | | | | | | | | | | | | | | 4 |
| 10 - 20 | 2 | | | | | | | | | | | | 2 | 2 | | | | | | | | | | | | | | 2 |
| 20 - 30 | 3 | | | | | | | | | | | | 3 | 3 | | | | | | | | | | | | | | 3 |
| 30 - 50 | | | | | | | | | | | | | | | | | | | | | | | | | | | | |
| 50 - 75 | 5 | | | | | | | | | | | | 5 | 5 | | | | | | | | | | | | | | 5 |
| 75 - 100 | 1 | | | | | | | | | | | | 1 | 1 | | | | | | | | | | | | | | 1 |
| 100 - 125 | 4 | | | | | | | | | | | | 4 | 4 | | | | | | | | | | | | | | 4 |
| 125 - 150 | 3 | | | | | | | | | | | | 3 | 3 | | | | | | | | | | | | | | 3 |
| 150 - 200 | 3 | | | | | | | | | | | | 3 | 3 | | | | | | | | | | | | | | 3 |
| 200 - 250 | 2 | | | | | | | | | | | | 2 | 2 | | | | | | | | | | | | | | 2 |
| 250 - 300 | 3 | | | | | | | | | | | | 3 | 3 | | | | | | | | | | | | | | 3 |
| 300 - 400 | 3 | | | | | | | | | | | | 3 | 3 | | | | | | | | | | | | | | 3 |
| 400 - 500 | | | | | | | | | | | | | | | | | | | | | | | | | | | | |
| 500 - 600 | | | | | | | | | | | | | | | | | | | | | | | | | | | | |
| 600 - 700 | | | | | | | | | | | | | | | | | | | | | | | | | | | | |
| 700 - 800 | | | | | | | | | | | | | | | | | | | | | | | | | | | | |
| 800 - 900 | | | | | | | | | | | | | | | | | | | | | | | | | | | | |
| 900 - 1000 | | | | | | | | | | | | | | | | | | | | | | | | | | | | |
| 1000 - 1100 | | | | | | | | | | | | | | | | | | | | | | | | | | | | |
| 1100 - 1200 | | | | | | | | | | | | | | | | | | | | | | | | | | | | |
| 1200 - 1300 | | | | | | | | | | | | | | | | | | | | | | | | | | | | |
| 1300 - 1400 | | | | | | | | | | | | | | | | | | | | | | | | | | | | |
| 1400 - 1500 | | | | | | | | | | | | | | | | | | | | | | | | | | | | |
| 1500 - 1750 | | | | | | | | | | | | | | | | | | | | | | | | | | | | |
| 1750 - 2000 | | | | | | | | | | | | | | | | | | | | | | | | | | | | |
| 2000 - 2500 | | | | | | | | | | | | | | | | | | | | | | | | | | | | |
| 2500 - 3000 | | | | | | | | | | | | | | | | | | | | | | | | | | | | |
| 3000 - 3500 | | | | | | | | | | | | | | | | | | | | | | | | | | | | |
| 3500 - 4000 | | | | | | | | | | | | | | | | | | | | | | | | | | | | |
| 4000 - 4500 | | | | | | | | | | | | | | | | | | | | | | | | | | | | |
| 4500 - 5000 | | | | | | | | | | | | | | | | | | | | | | | | | | | | |
| 5000 - 5500 | | | | | | | | | | | | | | | | | | | | | | | | | | | | |
| 5500 ≤ | | | | | | | | | | | | | | | | | | | | | | | | | | | | |
Back to Index
3 profiles
| Depth [m] | Data Quality Control Flags | Data Management Flags |
| 0 | 1 | 2 | 3 | 4 | 5 | 6 | 7 | 8 | 9 | L | _ | Total | 0 | 1 | 2 | 3 | 4 | 5 | 6 | D | E | F | J | K | L | M | Total |
| Total | | | | | | | | | | | | 33 | 33 | 33 | | | | | | | | | | | | | | 33 |
| 0 - 10 | | | | | | | | | | | | 4 | 4 | 4 | | | | | | | | | | | | | | 4 |
| 10 - 20 | | | | | | | | | | | | 2 | 2 | 2 | | | | | | | | | | | | | | 2 |
| 20 - 30 | | | | | | | | | | | | 3 | 3 | 3 | | | | | | | | | | | | | | 3 |
| 30 - 50 | | | | | | | | | | | | | | | | | | | | | | | | | | | | |
| 50 - 75 | | | | | | | | | | | | 5 | 5 | 5 | | | | | | | | | | | | | | 5 |
| 75 - 100 | | | | | | | | | | | | 1 | 1 | 1 | | | | | | | | | | | | | | 1 |
| 100 - 125 | | | | | | | | | | | | 4 | 4 | 4 | | | | | | | | | | | | | | 4 |
| 125 - 150 | | | | | | | | | | | | 3 | 3 | 3 | | | | | | | | | | | | | | 3 |
| 150 - 200 | | | | | | | | | | | | 3 | 3 | 3 | | | | | | | | | | | | | | 3 |
| 200 - 250 | | | | | | | | | | | | 2 | 2 | 2 | | | | | | | | | | | | | | 2 |
| 250 - 300 | | | | | | | | | | | | 3 | 3 | 3 | | | | | | | | | | | | | | 3 |
| 300 - 400 | | | | | | | | | | | | 3 | 3 | 3 | | | | | | | | | | | | | | 3 |
| 400 - 500 | | | | | | | | | | | | | | | | | | | | | | | | | | | | |
| 500 - 600 | | | | | | | | | | | | | | | | | | | | | | | | | | | | |
| 600 - 700 | | | | | | | | | | | | | | | | | | | | | | | | | | | | |
| 700 - 800 | | | | | | | | | | | | | | | | | | | | | | | | | | | | |
| 800 - 900 | | | | | | | | | | | | | | | | | | | | | | | | | | | | |
| 900 - 1000 | | | | | | | | | | | | | | | | | | | | | | | | | | | | |
| 1000 - 1100 | | | | | | | | | | | | | | | | | | | | | | | | | | | | |
| 1100 - 1200 | | | | | | | | | | | | | | | | | | | | | | | | | | | | |
| 1200 - 1300 | | | | | | | | | | | | | | | | | | | | | | | | | | | | |
| 1300 - 1400 | | | | | | | | | | | | | | | | | | | | | | | | | | | | |
| 1400 - 1500 | | | | | | | | | | | | | | | | | | | | | | | | | | | | |
| 1500 - 1750 | | | | | | | | | | | | | | | | | | | | | | | | | | | | |
| 1750 - 2000 | | | | | | | | | | | | | | | | | | | | | | | | | | | | |
| 2000 - 2500 | | | | | | | | | | | | | | | | | | | | | | | | | | | | |
| 2500 - 3000 | | | | | | | | | | | | | | | | | | | | | | | | | | | | |
| 3000 - 3500 | | | | | | | | | | | | | | | | | | | | | | | | | | | | |
| 3500 - 4000 | | | | | | | | | | | | | | | | | | | | | | | | | | | | |
| 4000 - 4500 | | | | | | | | | | | | | | | | | | | | | | | | | | | | |
| 4500 - 5000 | | | | | | | | | | | | | | | | | | | | | | | | | | | | |
| 5000 - 5500 | | | | | | | | | | | | | | | | | | | | | | | | | | | | |
| 5500 ≤ | | | | | | | | | | | | | | | | | | | | | | | | | | | | |
Back to Index